Вводные автоматы.
С точки зрения конструкции, автоматические выключатели намного более сложные, чем предохранители, так как они объединяют в себе функции выключателя и расцепителя. Отбор линейных автоматов осуществляется по тем же критериям, что и выбор вводных автоматов, и приведен в таблице 7.4.
Номинальным током автомата Iном.аназывается наибольший ток при котором автомат может длительно работать без повреждений.
При выборе вводных автоматов следует придерживаться следующих требований:
а) номинальное напряжение выключателя не должно быть ниже напряжения сети
Uном.вUном.с(7.12)
б) при допустимых кратковременных нагрузках защищаемого элемента, автоматы не должны срабатывать, это достигается выбором условия срабатывания электромагнитного расцепителя, по следующему условию
Iном.рас.э (1,25Iпуск), (7.13)
где Iпуск– пусковой ток электродвигательной нагрузки, А.
По [3] принимаем для СП-1 и СП-2 вводные автоматы типа А3744С с номинальным током равным 400 А.
Выбор вводных автоматов представлен в таблице 7.3.
Таблица 7.3 – Выбор вводных автоматов
|
Проверяемая величина |
Расчётные параметры |
Тип автомата |
Номинальные параметры |
Формула для проверки |
|
Номинальное напряжение |
Uр = 0,4 кВ |
А3744С |
Uном = 0,4 кВ |
Uном > Uр |
|
Номинальный ток |
Iр1 = 12,89 А |
Iн1 = 400 А |
Iном > Iр |
|
|
Iр2 = 16,56 А |
Iн2 = 400 А |
|||
|
Ток срабатывания расцепителя |
Iр.р1 = 963 А |
Iн.р1 = 2800 А |
Iн.р > Iр.р |
|
|
Iр.р2 = 1203,7 А |
Iн.р2 = 2800 А |
Линейные автоматы.Для выбора и проверки линейных автоматов используем формулы (7.12), (7.13).
Номинальный ток электроприёмника Iн, А определяем по выражению
(7.14)
где Рн– номинальная мощность отдельного электроприёмника, кВт;
cos– коэффициент мощности этого приемника.
Пусковой ток электродвигателей Iпускпитающих агрегаты находим по выражению
Iпуск=КпIном, (7.15)
где Кп– пусковой коэффициент
Выбор пускателей производится по номинальному току из справочных данных в 2, и представлен в таблице 7.4.
Таблица 7.4 – Выбор распределительной сети, линейных автоматов и пускателей

7.4 Расчёт освещения стержневого участка
Задачей расчёта осветительной установки является определение числа и мощности источников света или определение фактической освещённости, создаваемой с проектируемой установкой.
Выбор светильников определяется характером окружающей среды, требованиями к светораспределению и ограничению слепящего действия, а также из соображений экономии электроэнергии.
В данном проекте необходимо спроектировать освещение крыла здания, размеры которого составляют:
-
длина Lц= 24 м;
-
ширина Вц= 12м;
-
высота Hц= 6 м;
Высота расчётной поверхности hрсоставляет 0,8 метров. Высота свеса светильниковhссоставляет 1,2 метра.
Предлагается освещение участка лампами типа ДРЛ в светильниках РСП20.
Необходимо наметить расположение светильников в цехе. Естественное освещение отсутствует. Расчёт ведём в следующем порядке.
Расчётная высота h, м определяется по выражению
h=H–hр–hс, (7.17)
где H– высота помещения, м;
hр– высота расчётной поверхности, м;
hс– высота свеса светильников, м.
h= 6 – 0,8 – 1,2 = 4 м.
Для принятого светильника, имеющего глубокую кривую силы света (буква «Г» в обозначении светильника), находим значение эпо таблицам, представленным в5и из выраженияэ=Lа/hопределяем расстояние между светильникамиLа, м.
Lа=эh= 14 = 4 м.
При Lа= 4 м в ряду можно расположить 5 светильников, тогда
2l= 24 – 43 = 8 м,
откуда l=4 м.
Принимаем число рядов светильников равным 2, тогда Lб= 6 м;
Lа/Lб= 4/6 = 0,67 < 1,5
Принимаем число светильников на участке равным 10 шт.
При расчёте методом коэффициента использования световой поток в каждой лампе всех светильников, необходимый для создания заданной минимальной освещенности, определяем по выражению
(7.19)
где Eн– норма освещённости по9, лК;
Кзап– коэффициент запаса (принимаем по9равным 1,8);
F– площадь освещаемой поверхности (по заданию, м2);
Z– коэффициент минимальной освещённости (принимаем для ламп ДРЛ равным 1,15);
N– число светильников, шт;
– коэффициент использования светового потока источника света.
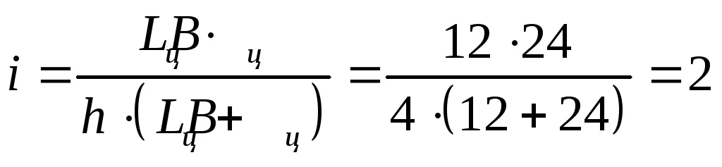
Для определения коэффициента использования светового потока источника света необходимо определить индекс помещения i, который определяется по выражению
(7.20)
При коэффициентах отражения потолка п, стенси расчётной поверхностирравных 50%, 50%, 30% соответственно, коэффициента использования светового потока источника света по9составляет 0,78.
По выражению (6.19) световой поток, необходимый для создания минимальной освещенности составит
По световому потоку в 9подбираем лампу типаДРЛмощностью 700 Вт с номинальным световым потоком равным 35000 лм.
Принимаем к установке лампы ДРЛ700(ртутная, дуговая высокого давления с исправленной цветностью; рабочим током равным 7,5 А и пусковым током 16,5 А; тип цоколя Р40).
Выбор сечений проводников осветительной сети. Питание ламп производится от группового щитка ЩО 3121 с вводными автоматическими выключателями А-3114 и линейными А-1031-11. Щитки устанавливаются открыто возле колонн.
Схема осветительной установки приведена на рисунке 7.1
Рсум=n·Р1 св= 10 · 700 · 0,001 = 7 кВт, (7.21)
Рро=Рсум·Кс ·Кпра= 7 · 0,95 · 1,1 = 7,32 кВт, (7.22)
где Кс– коэффициент спроса (Кс= 0,95 – для производственных зданий, состоящих из крупных пролетов);
Кпра– коэффициент, учитывающий потери в пускорегулирующей аппаратуре (Кпра=1,1 – для ламп типа ДРЛ).
Рисунок 7.1 – Схема осветительной установки
Выбор сечения по току

Выбор сечения по потере напряжения.
В соответствии с производственными условиями сеть электрического освещения выполняется алюминиевыми проводами при допустимой потере напряжения в питающей и распределительной сети Uр=5 %.
Определяем сечение проводников участка I-II(СП1-ЩО).
Расчетный приведенный момент нагрузки с учетом коэффициента приведения от четырехпроводной линии на однофазное ответвление к лампам (α= 1,85)
ΣМ=М+αΣm; (7.23)
где М– сумма моментов данного и всех последующих по направлению тока участков с тем же числом проводов в линиях, что и на данном участке, кВт·м;
m– сумма моментов участков, питаемых через данный участок линий с иным числом проводов, чем на данном участке, кВт·м.
α– коэффициент приведения моментов.
где l– расстояние от СП 1 до ЩО
Сечение проводников участка I-II:
; (7.24)
где Кс– коэффициент, зависящий от схемы и материала проводника.
Принимаем для участка I-IIстандартное сечение 2,5 мм2.
Тогда действительные потери напряжения на участке I-II:
(7.25)
Расчетные потери напряжения на участке II-III:
(7.26)
Сечение проводников на участке II-III:
Принимаем стандартное сечение участка II-III= 1 мм2

Рисунок 7.2 – Схема расположения светильников
Соседние файлы в папке Электроснаб1
- #
- #
- #
- #
- #
- #
Как определить номинал вводного автомата?
Номинал вводного автомата можно определить следующими шагами:
-
Определение максимальной мощности электрического устройства: определите максимальную мощность электрического устройства, которое вы хотите защитить через вводный автомат. Это может быть указано в ваттах (W) или в амперах (A).
-
Расчет максимального тока: если максимальная мощность указана в ваттах, то необходимо рассчитать максимальный ток, используя формулу: I = P / U, где I — это максимальный ток, P — максимальная мощность в ваттах, U — напряжение электросети (обычно 220 В).
-
Выбор номинала автомата: определите номинал автомата, который соответствует максимальному току, рассчитанному в предыдущем шаге. Обычно рекомендуется выбирать автомат с номиналом,
немного превышающим рассчитанный максимальный ток, чтобы учесть возможные колебания тока в электросети.
- Установка вводного автомата: после выбора номинала автомата установите его в электрощит, следуя инструкциям по установке.
Важно помнить, что выбор подходящего вводного автомата для защиты электрического устройства важен для его безопасной эксплуатации и для предотвращения возможных неполадок в электросети.
